|
|
|
|
|
在循环流化床锅炉设计中,二次风所在平面距离流化床锅炉布风板距离的理论文献很少,二次风的合理布置影响到循环流化床锅炉的燃烧份额分布、NOx排放量、锅炉负荷、风机能耗、密相区的流动及燃烧等。在循环流化床锅炉设计中,二次风所在平面位置直接影响着密相区的流化速度,因此,循环流化床锅炉二次风布置平面距布风板的高度要适当,二次风所在平面距离布风板的高度对炉膛内循环灰浓度及外循环灰浓度都有一定影响,如果二次风口与布风板距离太高,二次风平面以下流化速度比稀相区流化速度就会低很多,容易造成流化床流化不良和锅炉带不了负荷;反之,如果二次风口与布风板距离太低,二次风所在平面以下流化速度过高,会造成炉膛及旋风分离器内部循环物料量增加,运行控制不好,很容易造成旋风分离器温度过高而结渣。二次风口的高度在布置上应根据锅炉容量的大小而定,锅炉容量大,高度距布风板的距离大,反之则小。
1二次风的设计理论分析
1.1密相区概念及二次风分层设计理论密相区是从布风板开始直到当地运行风速小于某些颗粒的终端沉降速度时,这些颗粒开始向下运动,进行炉内返混那一位置为止的一个固体颗粒浓度很大且颗粒在其内部进行强烈的扰动、燃烧的区域。
在型循环流化床锅炉设计中部分大型循环流化床锅炉布置三层二次风,其余布置两层二次风,中型循环流化床锅炉为保证次风的穿透深度、缩小中心贫氧区的范围,一般布置两层二次风,小型循环流化床锅炉基于上述因素可考虑布置一层二次风,如图1。

1.2循环流化床锅炉椎体段模型的设计理念循环流化床锅炉送入的空气一般分为一次风和二次风(有的循环流化床还设计有三次风),密相区一般都做成锥形扩口,否则密相区的流化速度就会降低,特别在锅炉低负荷时,锅炉会出现流化停止及床料结焦现象,同时由于密相区流化速度降低,锅炉密相区析出的颗粒物减少,锅炉带负荷能力也会下降,所以循环流化床锅炉的密相区总是采用较小的横截面积。
在设计循环流化床锅炉锥体的截面收缩可以采用两种不同的方法:第一种方法是流化床下部区域采用较小的截面积,在二次风口送入位置采用渐扩的锥形扩口,扩口角度小于45°,具体的设计如图2。

第二种方法是在炉膛布风板上部就呈锥形扩口,这有助于提高布风板附近流化风速,以减少床内分层和大颗粒沉底的可能,具体的设计如图3。

1.3二次风设计关键数据确定
影响二次风所在平面距离布风板位置高低的影响因素很多,主要包括流化床锥体段深度、锥体段容积、循环流化床锅炉锥体两端面积大小及比值、煤质、料程高度、一二次风比率、煤质粒度分布、流化速度、布风板开孔率,外循环倍率、内循环倍率等,下面简单介绍一下二次风布置影响因素之间的关系及设计理论。
1.3.1流化床一二次风率的确定及锥体段设计从考虑脱硝和降低厂用电方面考虑,二次取大值为好,但是不宜过大,因为二次风率过大,密相区的截面积就必须做的很小才能保证密相区的流化速度,这是设计循环流化床锅炉所不允许的,同时因为锥体段截面积做的很小会导致锅炉燃烧不稳定;从燃烧份额方面考虑,循环灰及冷的二次风都是从密相区加入,所以密相区必须有一定的燃烧份额,才能保证循环流化床锅炉的稳定燃烧,如果一次风量取得过低,可能导致循环流化床锅炉析出颗粒物浓度下降,锅炉循环倍率降低,带负荷能力下降,同时会导致大颗粒物无法燃尽,锅炉排渣含碳量增加。综合考虑,对于挥发份高、易燃优质煤种,一次风率一般取低值,一般取40%~60%;对于难燃、低挥发份劣质煤种,一次风率取高值。但是,每个锅炉公司设计的一二次风率都不尽相同,因为,每个锅炉厂家选择的流化风速不同,密相区与稀相区各自的流化风速也不同,煤质的颗粒分布也不相同,这就导致了不同的锅炉厂家,对于相近的煤质,选择的一二次风率比不同,但所有锅炉厂家总的设计理念都是保持密相区流化均匀,密相区与稀相区热量分布均匀,表1给出了几家锅炉公司给出的一次风率,可供设计参考。

在确定一二次风比率后,要根据煤质的不同考虑流化速度,流化速度确定以后,就确定了锅炉锥体以上部分的横截面积,然后再根据锅炉蓄热、料程、密相区燃烧等确定锥体体积。
一二次风率比及锥体体积确定以后,根据密相区与稀相区流化速度的数值来计算二次风的高度或者根据二次风的高度来反推锥体底部的面积大小,但都遵循原则是在到达二次风平面的流化速度与整体流化速度相差不多(密相区的流化速度略小于稀相区的流化速度),具体根据煤质好坏和煤粒分布作适当调整,保证锥体良好流化,热量分布均匀。
1.3.2流化床密相区、稀相区流化速度的确定及对二次风的影响
循环流化床锅炉流化速度的确定是锅炉设计中最关键的问题之一,影响循环流化床锅炉流化速度的影响因素很多,主要包括煤质、煤质粒径、煤质平均粒径等。流化床流化速度的设计包括密相区流化速度和稀相区流化速度,Pyroflow型循环流化床锅炉密相区流化速度一般设计为4.0m/s~4.5m/s,稀相区流化速度一般为4.5m/s~5.5m/s,早期流化床锅炉的流化速度取值较高,但是考虑到循环流化床锅炉水冷壁的磨损,现在取值没那么高了。
2流化床二次风位置设计的具体计算
2.1流化床二次风位置设计循环流化床锥体段(密相区)设计的核心理念是保证密相区流化良好及密相区与稀相区燃烧放热分配均匀,并且燃烧稳定。流化床锥体段的具体结构计算如图4、5。


对循环流化床锅炉的锥体相关参数做以下假设:
1)流化床锅炉锥体锥角分别为:α、β。
2)流化床锅炉低部(布风板)长、宽:amm×bmm。
3)第一层二次风距离布风板距离:h1/mm。
4)第二层二次风距离布风板距离:h2/mm。
5)流化床锥体最大扩口处长宽:a3mm×b3mm。
循环流化床锅炉布风板面积计算如下:

循环流化床锅炉第一层二次风所在平面面积计算如下:

循环流化床锅炉第二层二次风所在平面面积计算如下:

循环流化床锅炉稀相区横截面积计算如下:

循环流化床锅炉稀相区横截面积与布风板及两层二次风所在平面的面积比计算如下:

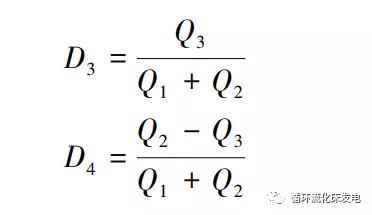
假设循环流化床锅炉设计风量:一次风量为Q1,二次风量为Q2。

D1-一次风率比;D2-二次风率比。D1=40%~60%,根据煤质的不同取不同值,对于难燃、低挥发份劣质煤D1取高值,对于易燃、高挥发份煤D1取低值,具体的设计值参考1.3.1的设计原则及数值。假如二次风两层布置,第一层二次风量为Q3,那么,第二层二次风量为Q2~Q3,一般情况下第一层二次风量与第二层二次风量大致相等。

D3-第一层二次风率比;D4-第二层二次风率比。D3,D4的取值要根据煤质、锅炉运行稳定、蓄热能力、流化速度等进行确定。一次风量、一次风量加第一层二次风量与总风量的比,具体计算如下:

假设密相区的流化风速为V1,稀相区的流化速度为V2。

具体V1、V2的设计值参考1.3.2。X的值小于1,因为密相区的流化速度一般低于稀相区流化速度,不同的设计者设计数值不同。
风量与面积比:

F1、F2的取值范围为95%~100%。
2.2 h1、h2取值的分析及影响
2.2.1 h1、h2取值的分析
对于挥发份高易燃煤种h1、h2取高值,对于挥发份低难燃劣质煤种h1、h2取低值。对于平均煤粒径较小的煤种h1、h2取高值,对于平均煤粒径较大的煤种h1、h2取低值。
在锅炉调试过程中,假如在满足锅炉负荷及烟气含氧量情况下,一次风比率高于额定值,那么可以通过减小h1、h2的取值,来降低一次风比率,相反,在满足锅炉负荷及烟气含氧量情况下,一次风比率低于额定值,那么可以通过增大h1、h2的取值,来提高一次风比率,从而使锅炉设计更加合理。
2.2.2 h1、h2取值过大、过小的影响
如果h1、h2取的值过高,会导致密相区流化速度过低导致流化不良,密相区析出细颗粒较少,密相区燃烧份额增加,稀相区的燃烧份额下降,循环物料量降低,锅炉带不起负荷。
如果h1、h2取的值过低,会导致密相区流化速度过高,一次风机能耗增加,同时密相区的燃烧份额下降,密相区燃烧温度降低,锅炉运行不稳定,锅炉磨损增加。
密相区合理的流化速度是整个循环流化床热量分布均匀的前提,是循环流化床经济运行的核心。
3结论
煤质对循环流化床锅炉二次风的设计至关重要,密相区和稀相区的热量分布与循环流化床锅炉的一二次风率比及锅炉的流化速度密切相关。
1)对现有循环流化床锅炉入炉煤质在发生较大变化时,为能满足锅炉设计负荷,可以从以下几方面考虑改造锅炉:a)燃烧挥发份高、易燃、灰分低的煤种时,循环流化床应降低一次风率,提高二次风率,为满足密相区流化要求,可以缩小锥体段横截面积或者适当降低二次风布置平面到布风板的距离。b)燃烧挥发份低、难燃、灰分高的煤种时,循环流化床应加大一次风率,降低二次风率,使锅炉的热量分布均匀。密相区温度过低或锅炉运行不稳定时,可以适当增加二次风布置平面到布风板的距离,以保证密相区蓄热增加,运行稳定。
2)对于设计循环流化床锅炉,为了使锅炉密相区与稀相区燃烧稳定,可以通过所提的公式对设计参数进行适当调整,使循环流化床锅炉设计更加合理,密相区与稀相区温差在设计范围内,锅炉烟气含氧量在设计范围内(3%~5%)。
- 西安热工研究院有限公司
- 中国电机工程学会
- 国家核电技术公司
- 中国电力科学研究院
- 火力发电分会(电机工程学会)
- 火力发电分会(中电联)
- 中国电力规划设计协会
- 中国电力建设企业协会
- 华润电力控股有限公司
- 国电电力发展股份有限公司
- 华能国际电力股份有限公司
- 大唐国际发电股份有限公司
- 中国华电工程(集团)有限公司
- 山东黄台火力发电厂
- 中国华电集团发电运营有限公司
- 内蒙古蒙电华能热电股份有限公司
- 园通火力发电有限公司
- 广西柳州发电有限责任公司
- 株洲华银火力发电有限公司
- 内蒙古岱海发电有限责任公司
- 山西漳山发电有限责任公司
- 湖北华电黄石发电股份有限公司
- 黑龙江华电佳木斯发电有限公司
- 陕西蒲城发电有限责任公司
- 福建华电永安发电有限公司
- 开封火力发电厂
- 华电国际邹县火力发电厂
- 中山火力发电有限公司
- 山西阳光发电有限责任公司
- 国电长源电力股份有限公司
- 山东新能泰山发电股份有限公司
- 宜昌东阳光火力发电有限公司
- 扬州火力发电有限公司
- 太仓港协鑫发电有限公司
- 甘肃电投张掖发电有限责任公司
- 陕西渭河发电有限公司
- 国投钦州发电有限公司
- 大唐淮南洛河发电厂
- 国电丰城发电有限公司
- 靖远第二发电有限公司
- 国华绥中发电有限公司
- 元宝山发电有限责任公司
- 开封火力发电厂
- 云南华电巡检司发电有限公司
- 云南华电昆明发电有限公司
- 国投宣城发电有限责任公司
- 山东黄岛发电厂
- 国投北部湾发电有限公司
- 西北发电集团
版权所有©火力发电网 运营:北京大成风华信息咨询有限公司 京ICP备13033476号-1 京公网安备 110105012478 本网站未经授权禁止复制转载使用












